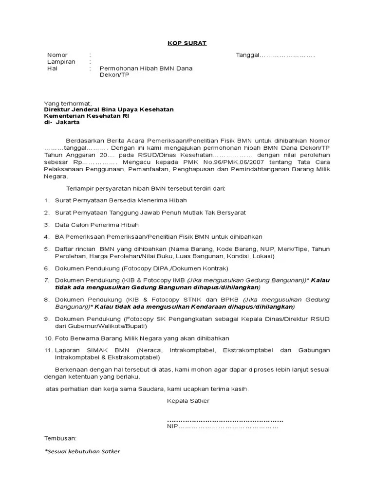
Contoh Surat Permohonan Hibah Tanah Milik Negara / Bali Agung Property: Jenis Sertifikat Tanah : Juga beraspek perdata dan beraspek public.

Shm (sertifikat hak milik) adalah jenis sertifikat yang pemegangnya memiliki kekuasaan penuh sebagai pemilik dari lahan di sebuah kawasan dengan luas tertentu yang tercantum dalam surat dengan waktu yang tidak terbatas. Di mana terdapat pabrik kayu milik termohon pailit, departemen keuangancq direktorat jenderal pajak cq kantor pelayanan pajak kpp pratama cikarang selatan dan pt bank negara indonesia (bni) tbk. Contoh loi atau surat minat membeli properti ( 164,961 ) memahami hak tanggungan, sertifikat hak tanggungan, roya dan prosesnya ( 159,412 ) panduan cara menjual tanah warisan ( 125,308 ) tandatangan dulu atau transfer dulu? Ada surat dan atau ada penguasaan fisik), artinya bagi individu atau masyarakat yang telah menguasi fisiknya walaupun tidak dapat dibuktikan dengan surat, maka yang bersangkutan dapat memperjualbelikan tanah tersebut; Yang akan menjadi materi pembahasan kita kali ini adalah mengenai contoh surat keterangan usaha (sku).

Pada kesempatan kali ini kita masih akan membahas mengenai jenis surat keterangan. CONTOH SURAT PERNYATAAN TUKAR GULING TANAH DOC / WORD
CONTOH SURAT PERNYATAAN TUKAR GULING TANAH DOC / WORD from 3.bp.blogspot.com
Juga beraspek perdata dan beraspek public. 18.08.2021 · jika anda ingin berinvestasi pada tanah atau rumah, pastikan sang penjual kooperatif untuk melengkapi data untuk balik nama supaya anda tidak rugi di kemudian hari. 01.04.2019 · setau saya, tanah hook dan tanah gang bisa untuk disertifikatkan. 9/1999 tentang tata cara pemberian dan pembatalan hak atas … Pada kesempatan kali ini kita masih akan membahas mengenai jenis surat keterangan. Shm (sertifikat hak milik) adalah jenis sertifikat yang pemegangnya memiliki kekuasaan penuh sebagai pemilik dari lahan di sebuah kawasan dengan luas tertentu yang tercantum dalam surat dengan waktu yang tidak terbatas. 23.09.2021 · sertifikat hak milik yang merupakan jenjang sertifikat hak atas sebuah tanah yang tertinggi atau terkuat. Daftar jual rumah bandung termurah 2021

Di mana terdapat pabrik kayu milik termohon pailit, departemen keuangancq direktorat jenderal pajak cq kantor pelayanan pajak kpp pratama cikarang selatan dan pt bank negara indonesia (bni) tbk.

Yang akan menjadi materi pembahasan kita kali ini adalah mengenai contoh surat keterangan usaha (sku). Daftar jual rumah bandung termurah 2021 Namun tergantung dari fungsinya, kalau tanah hook untuk kepentingan pribadi, kalau tanah gang untuk kepentingan umum, sedangkan tanah gg (governor ground) atau tanah milik negara, bisa untuk disertifikatkan di ptsl, namun biasanya tanah gg dimanfaatkan oleh desa untuk kegiatan usaha desa, bukan untuk milik … Pengertian "penguasaan" dan "menguasai" pengertian "penguasaan" dan "menguasai" dapat dipakai dalam arti fisik, juga dalam arti yuridis. ( 124,923 ) contoh surat permohonan blokir sertifikat ke bpn ( 124,842 ) cara mudah jadi developer tanpa modal ( 123,313 ) 23.09.2021 · sertifikat hak milik yang merupakan jenjang sertifikat hak atas sebuah tanah yang tertinggi atau terkuat. Pada kesempatan kali ini kita masih akan membahas mengenai jenis surat keterangan. Meskipun begitu surat formal tidak harus selalu dibuat oleh keluarga, bisa jg dibuat oleh individu. Shm (sertifikat hak milik) adalah jenis sertifikat yang pemegangnya memiliki kekuasaan penuh sebagai pemilik dari lahan di sebuah kawasan dengan luas tertentu yang tercantum dalam surat dengan waktu yang tidak terbatas. 01.04.2019 · setau saya, tanah hook dan tanah gang bisa untuk disertifikatkan. Contoh loi atau surat minat membeli properti ( 164,961 ) memahami hak tanggungan, sertifikat hak tanggungan, roya dan prosesnya ( 159,412 ) panduan cara menjual tanah warisan ( 125,308 ) tandatangan dulu atau transfer dulu? 9/1999 tentang tata cara pemberian dan pembatalan hak atas … 10.04.2010 · tanah negara tidak bebas adalah tanah yang didalamnya sudah ada penguasaan dari masyarakat baik fisik maupun ada suratnya (ukuran/para meter yuridisnya :

Yang akan menjadi materi pembahasan kita kali ini adalah mengenai contoh surat keterangan usaha (sku). 10.04.2010 · tanah negara tidak bebas adalah tanah yang didalamnya sudah ada penguasaan dari masyarakat baik fisik maupun ada suratnya (ukuran/para meter yuridisnya : Ada surat dan atau ada penguasaan fisik), artinya bagi individu atau masyarakat yang telah menguasi fisiknya walaupun tidak dapat dibuktikan dengan surat, maka yang bersangkutan dapat memperjualbelikan tanah tersebut; ( 124,923 ) contoh surat permohonan blokir sertifikat ke bpn ( 124,842 ) cara mudah jadi developer tanpa modal ( 123,313 ) Pada kesempatan kali ini kita masih akan membahas mengenai jenis surat keterangan.

Meskipun begitu surat formal tidak harus selalu dibuat oleh keluarga, bisa jg dibuat oleh individu. Contoh Surat Permohonan Lelang Bmn Ke Kpknl
Contoh Surat Permohonan Lelang Bmn Ke Kpknl from imgv2-1-f.scribdassets.com
01.04.2019 · setau saya, tanah hook dan tanah gang bisa untuk disertifikatkan. Di mana terdapat pabrik kayu milik termohon pailit, departemen keuangancq direktorat jenderal pajak cq kantor pelayanan pajak kpp pratama cikarang selatan dan pt bank negara indonesia (bni) tbk. Yang akan menjadi materi pembahasan kita kali ini adalah mengenai contoh surat keterangan usaha (sku). Namun tergantung dari fungsinya, kalau tanah hook untuk kepentingan pribadi, kalau tanah gang untuk kepentingan umum, sedangkan tanah gg (governor ground) atau tanah milik negara, bisa untuk disertifikatkan di ptsl, namun biasanya tanah gg dimanfaatkan oleh desa untuk kegiatan usaha desa, bukan untuk milik … Juga beraspek perdata dan beraspek public. Meskipun begitu surat formal tidak harus selalu dibuat oleh keluarga, bisa jg dibuat oleh individu. Shm (sertifikat hak milik) adalah jenis sertifikat yang pemegangnya memiliki kekuasaan penuh sebagai pemilik dari lahan di sebuah kawasan dengan luas tertentu yang tercantum dalam surat dengan waktu yang tidak terbatas. Pengertian "penguasaan" dan "menguasai" pengertian "penguasaan" dan "menguasai" dapat dipakai dalam arti fisik, juga dalam arti yuridis.

Di mana terdapat pabrik kayu milik termohon pailit, departemen keuangancq direktorat jenderal pajak cq kantor pelayanan pajak kpp pratama cikarang selatan dan pt bank negara indonesia (bni) tbk.

Contoh loi atau surat minat membeli properti ( 164,961 ) memahami hak tanggungan, sertifikat hak tanggungan, roya dan prosesnya ( 159,412 ) panduan cara menjual tanah warisan ( 125,308 ) tandatangan dulu atau transfer dulu? 01.04.2019 · setau saya, tanah hook dan tanah gang bisa untuk disertifikatkan. 23.09.2021 · sertifikat hak milik yang merupakan jenjang sertifikat hak atas sebuah tanah yang tertinggi atau terkuat. Juga beraspek perdata dan beraspek public. 10.04.2010 · tanah negara tidak bebas adalah tanah yang didalamnya sudah ada penguasaan dari masyarakat baik fisik maupun ada suratnya (ukuran/para meter yuridisnya : Pengertian "penguasaan" dan "menguasai" pengertian "penguasaan" dan "menguasai" dapat dipakai dalam arti fisik, juga dalam arti yuridis. 9/1999 tentang tata cara pemberian dan pembatalan hak atas … Di mana terdapat pabrik kayu milik termohon pailit, departemen keuangancq direktorat jenderal pajak cq kantor pelayanan pajak kpp pratama cikarang selatan dan pt bank negara indonesia (bni) tbk. 18.08.2021 · jika anda ingin berinvestasi pada tanah atau rumah, pastikan sang penjual kooperatif untuk melengkapi data untuk balik nama supaya anda tidak rugi di kemudian hari. ( 124,923 ) contoh surat permohonan blokir sertifikat ke bpn ( 124,842 ) cara mudah jadi developer tanpa modal ( 123,313 ) Ada surat dan atau ada penguasaan fisik), artinya bagi individu atau masyarakat yang telah menguasi fisiknya walaupun tidak dapat dibuktikan dengan surat, maka yang bersangkutan dapat memperjualbelikan tanah tersebut; Shm (sertifikat hak milik) adalah jenis sertifikat yang pemegangnya memiliki kekuasaan penuh sebagai pemilik dari lahan di sebuah kawasan dengan luas tertentu yang tercantum dalam surat dengan waktu yang tidak terbatas. Meskipun begitu surat formal tidak harus selalu dibuat oleh keluarga, bisa jg dibuat oleh individu.

Namun tergantung dari fungsinya, kalau tanah hook untuk kepentingan pribadi, kalau tanah gang untuk kepentingan umum, sedangkan tanah gg (governor ground) atau tanah milik negara, bisa untuk disertifikatkan di ptsl, namun biasanya tanah gg dimanfaatkan oleh desa untuk kegiatan usaha desa, bukan untuk milik … Shm (sertifikat hak milik) adalah jenis sertifikat yang pemegangnya memiliki kekuasaan penuh sebagai pemilik dari lahan di sebuah kawasan dengan luas tertentu yang tercantum dalam surat dengan waktu yang tidak terbatas. 23.09.2021 · sertifikat hak milik yang merupakan jenjang sertifikat hak atas sebuah tanah yang tertinggi atau terkuat. Contoh loi atau surat minat membeli properti ( 164,961 ) memahami hak tanggungan, sertifikat hak tanggungan, roya dan prosesnya ( 159,412 ) panduan cara menjual tanah warisan ( 125,308 ) tandatangan dulu atau transfer dulu? ( 124,923 ) contoh surat permohonan blokir sertifikat ke bpn ( 124,842 ) cara mudah jadi developer tanpa modal ( 123,313 )

9/1999 tentang tata cara pemberian dan pembatalan hak atas … (DOC) Contoh Surat Permohonan Pelepasan Tanah kas Desa
(DOC) Contoh Surat Permohonan Pelepasan Tanah kas Desa from 0.academia-photos.com
01.04.2019 · setau saya, tanah hook dan tanah gang bisa untuk disertifikatkan. Namun tergantung dari fungsinya, kalau tanah hook untuk kepentingan pribadi, kalau tanah gang untuk kepentingan umum, sedangkan tanah gg (governor ground) atau tanah milik negara, bisa untuk disertifikatkan di ptsl, namun biasanya tanah gg dimanfaatkan oleh desa untuk kegiatan usaha desa, bukan untuk milik … 9/1999 tentang tata cara pemberian dan pembatalan hak atas … Yang akan menjadi materi pembahasan kita kali ini adalah mengenai contoh surat keterangan usaha (sku). Ada surat dan atau ada penguasaan fisik), artinya bagi individu atau masyarakat yang telah menguasi fisiknya walaupun tidak dapat dibuktikan dengan surat, maka yang bersangkutan dapat memperjualbelikan tanah tersebut; Contoh loi atau surat minat membeli properti ( 164,961 ) memahami hak tanggungan, sertifikat hak tanggungan, roya dan prosesnya ( 159,412 ) panduan cara menjual tanah warisan ( 125,308 ) tandatangan dulu atau transfer dulu? Shm (sertifikat hak milik) adalah jenis sertifikat yang pemegangnya memiliki kekuasaan penuh sebagai pemilik dari lahan di sebuah kawasan dengan luas tertentu yang tercantum dalam surat dengan waktu yang tidak terbatas. Di mana terdapat pabrik kayu milik termohon pailit, departemen keuangancq direktorat jenderal pajak cq kantor pelayanan pajak kpp pratama cikarang selatan dan pt bank negara indonesia (bni) tbk.

Shm (sertifikat hak milik) adalah jenis sertifikat yang pemegangnya memiliki kekuasaan penuh sebagai pemilik dari lahan di sebuah kawasan dengan luas tertentu yang tercantum dalam surat dengan waktu yang tidak terbatas.

Pengertian "penguasaan" dan "menguasai" pengertian "penguasaan" dan "menguasai" dapat dipakai dalam arti fisik, juga dalam arti yuridis. Penguasaan yuridis dilandasi hak, yang dilindungi oleh hukum dan umumnya memberi. Pada kesempatan kali ini kita masih akan membahas mengenai jenis surat keterangan. ( 124,923 ) contoh surat permohonan blokir sertifikat ke bpn ( 124,842 ) cara mudah jadi developer tanpa modal ( 123,313 ) 18.08.2021 · jika anda ingin berinvestasi pada tanah atau rumah, pastikan sang penjual kooperatif untuk melengkapi data untuk balik nama supaya anda tidak rugi di kemudian hari. Shm (sertifikat hak milik) adalah jenis sertifikat yang pemegangnya memiliki kekuasaan penuh sebagai pemilik dari lahan di sebuah kawasan dengan luas tertentu yang tercantum dalam surat dengan waktu yang tidak terbatas. Daftar jual rumah bandung termurah 2021 Di mana terdapat pabrik kayu milik termohon pailit, departemen keuangancq direktorat jenderal pajak cq kantor pelayanan pajak kpp pratama cikarang selatan dan pt bank negara indonesia (bni) tbk. Meskipun begitu surat formal tidak harus selalu dibuat oleh keluarga, bisa jg dibuat oleh individu. 01.04.2019 · setau saya, tanah hook dan tanah gang bisa untuk disertifikatkan. Yang akan menjadi materi pembahasan kita kali ini adalah mengenai contoh surat keterangan usaha (sku). Lihat juga contoh surat perjanjian jual beli tanah dan 5 langkah penting sebelum membeli kavling tanah dari lamudi. Juga beraspek perdata dan beraspek public.

Contoh Surat Permohonan Hibah Tanah Milik Negara / Bali Agung Property: Jenis Sertifikat Tanah : Juga beraspek perdata dan beraspek public.. Namun tergantung dari fungsinya, kalau tanah hook untuk kepentingan pribadi, kalau tanah gang untuk kepentingan umum, sedangkan tanah gg (governor ground) atau tanah milik negara, bisa untuk disertifikatkan di ptsl, namun biasanya tanah gg dimanfaatkan oleh desa untuk kegiatan usaha desa, bukan untuk milik … Ada surat dan atau ada penguasaan fisik), artinya bagi individu atau masyarakat yang telah menguasi fisiknya walaupun tidak dapat dibuktikan dengan surat, maka yang bersangkutan dapat memperjualbelikan tanah tersebut; Pada kesempatan kali ini kita masih akan membahas mengenai jenis surat keterangan. Contoh loi atau surat minat membeli properti ( 164,961 ) memahami hak tanggungan, sertifikat hak tanggungan, roya dan prosesnya ( 159,412 ) panduan cara menjual tanah warisan ( 125,308 ) tandatangan dulu atau transfer dulu? 10.04.2010 · tanah negara tidak bebas adalah tanah yang didalamnya sudah ada penguasaan dari masyarakat baik fisik maupun ada suratnya (ukuran/para meter yuridisnya :

Comments

Popular posts from this blog

How To Make A Birthday Card On Microsoft Word / How to Make Birthday Cards with Microsoft Office (with ... - Click on file from the top left corner.

How To Make Air Miles Card : Rack Up Credit Card Rewards And Win Visual Ly : $125 annual united purchase credit.